ЕГЭ 2011 Русский язык 11 класс Диагностическая работа 3 варианты 1-4 09.02.2011 год тексты для С1 читать бесплатно

Краткое изложение пособия: Книга "ЕГЭ 2011 Русский язык 11 класс Диагностическая работа 3 варианты 1-4 09.02.2011 год тексты для С1" представляет собой ценный ресурс для старшеклассников, готовящихся к сдаче ЕГЭ по русскому языку. Эта книга включает в себя четыре варианта диагностической работы, созданные опытными экспертами. Каждый вариант включает в себя тексты для анализа и решения заданий, которые максимально соответствуют структуре и сложности задач на реальном экзамене. Книга также предоставляет подробные ответы на каждый вопрос, что поможет вам разобраться в правильных методах решения задач. Это не просто сборник задач – это полноценное руководство, которое поможет вам подготовиться к ЕГЭ на высоком уровне. С этой книгой вы сможете: Проверить свои знания и умения, решая задачи и анализируя тексты. Понять, как оцениваются ваши ответы и как можно получить максимальный балл. Провести самостоятельную подготовку, углубив свои знания в русском языке. Подойти к экзамену уверенно, зная, что вы хорошо подготовлены и знакомы с форматом заданий. Не упустите возможность приобрести эту книгу и подготовиться к ЕГЭ по русскому языку на самом высоком уровне. Она станет вашим верным помощником в достижении успеха на экзамене и поможет вам открыть перед собой новые горизонты. У нас на сайте с учебниками - ОГЭ-гиа-егэ-впр-варианты.ком школьники также найдут много других учебных материалов и книг (не pdf, пдф) для онлайн подготовки к экзаменам в 9-11 классах. Учебное пособие дает много ответов на сложные вопросы, но не считается ГДЗ (решебником).

Единый государственный экзамен:

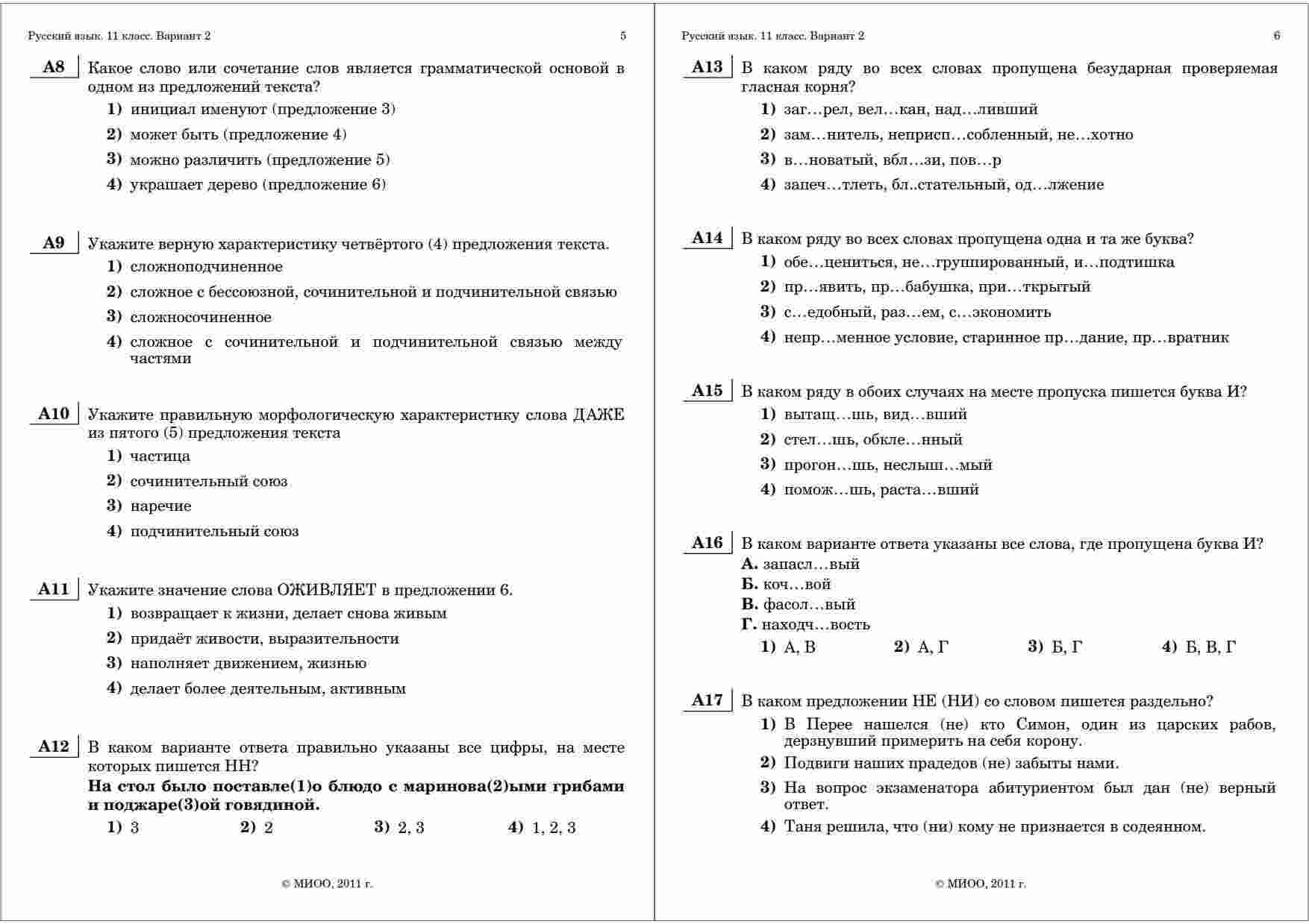
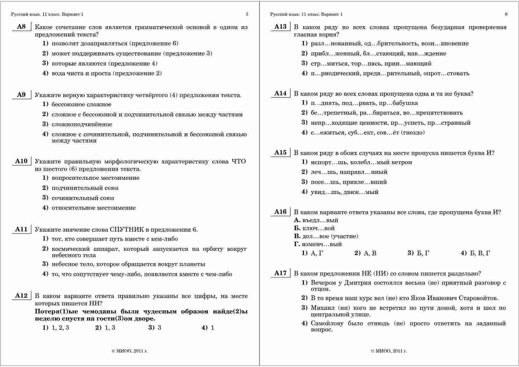
Страница №: стр.1 | стр.2 | стр.3 | стр.4 | стр.5 | стр.6 | стр.7 | стр.8 | стр.9 | стр.10 | стр.11 | стр.12 | стр.13 | стр.14 | стр.15 | стр.16 | стр.17; стр.18 | стр.19 | стр.20 | стр.21 | стр.22 | стр.23 | стр.24 | стр.25 | стр.26 | стр.27 | стр.28 | стр.29 | стр.30 | стр.31 | стр.32 | стр.33.