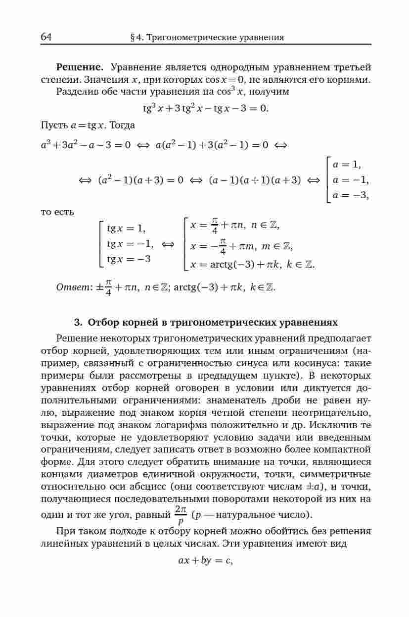
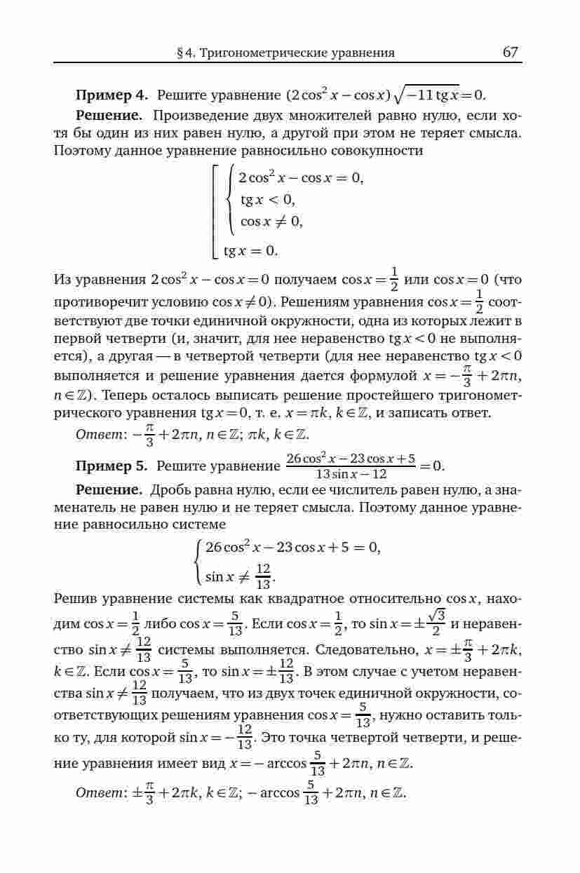
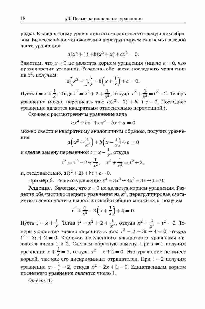
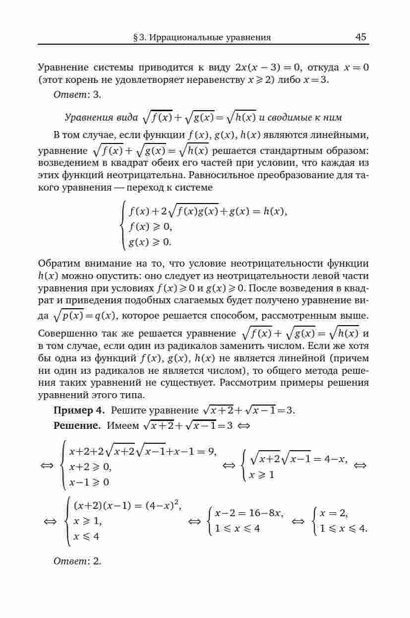
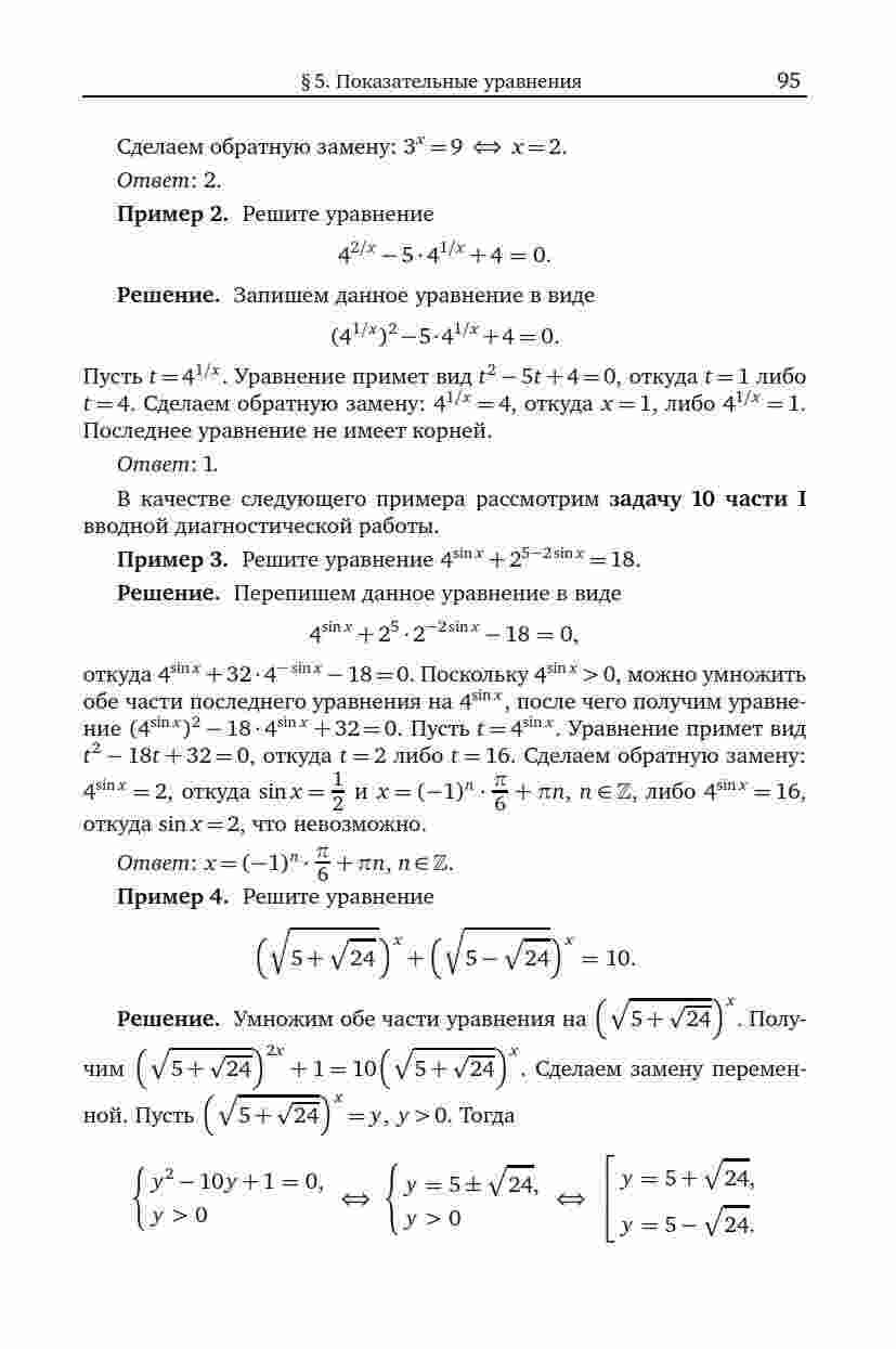
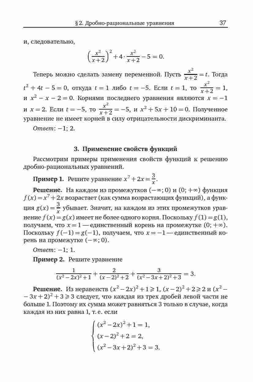
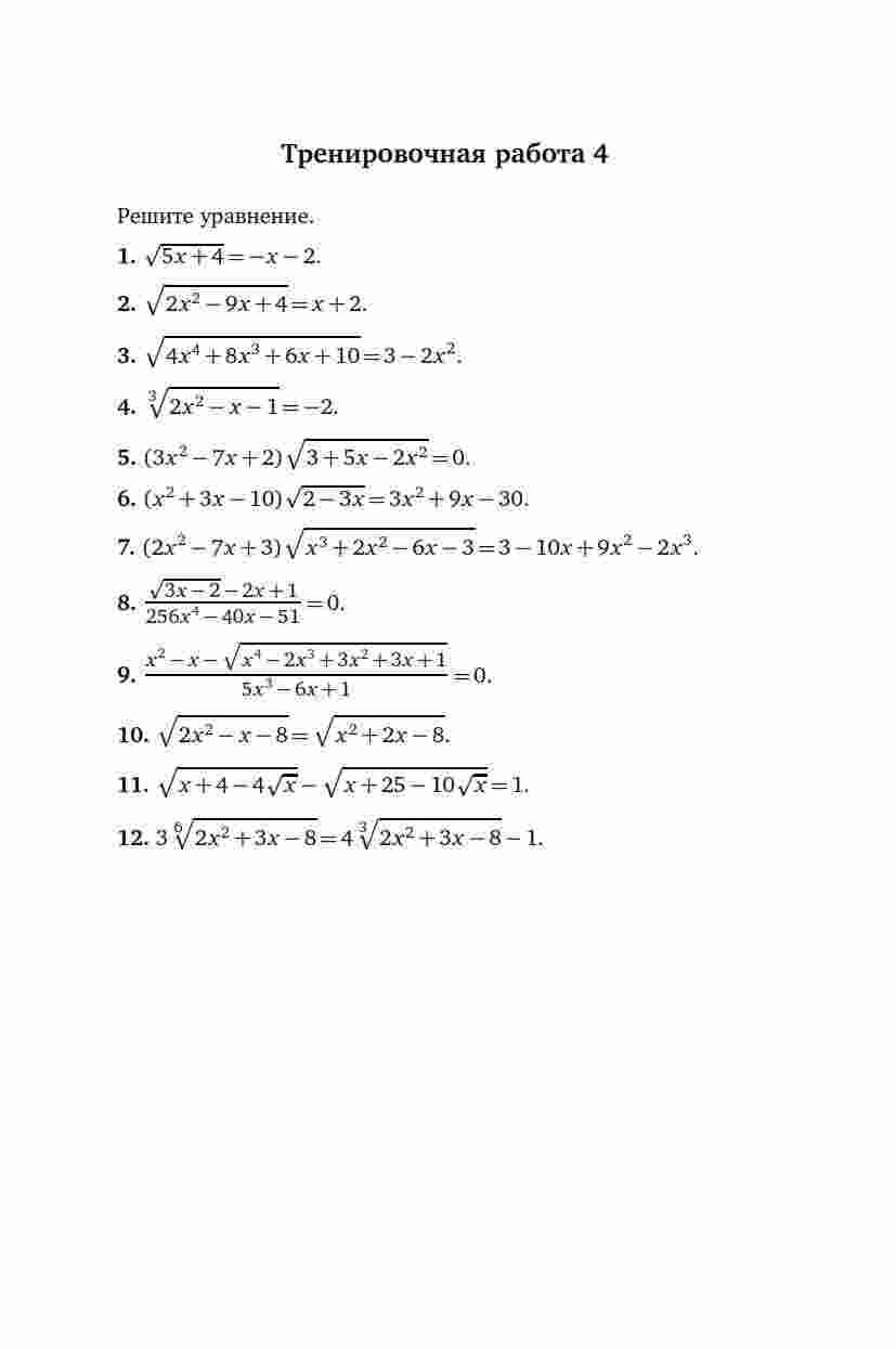
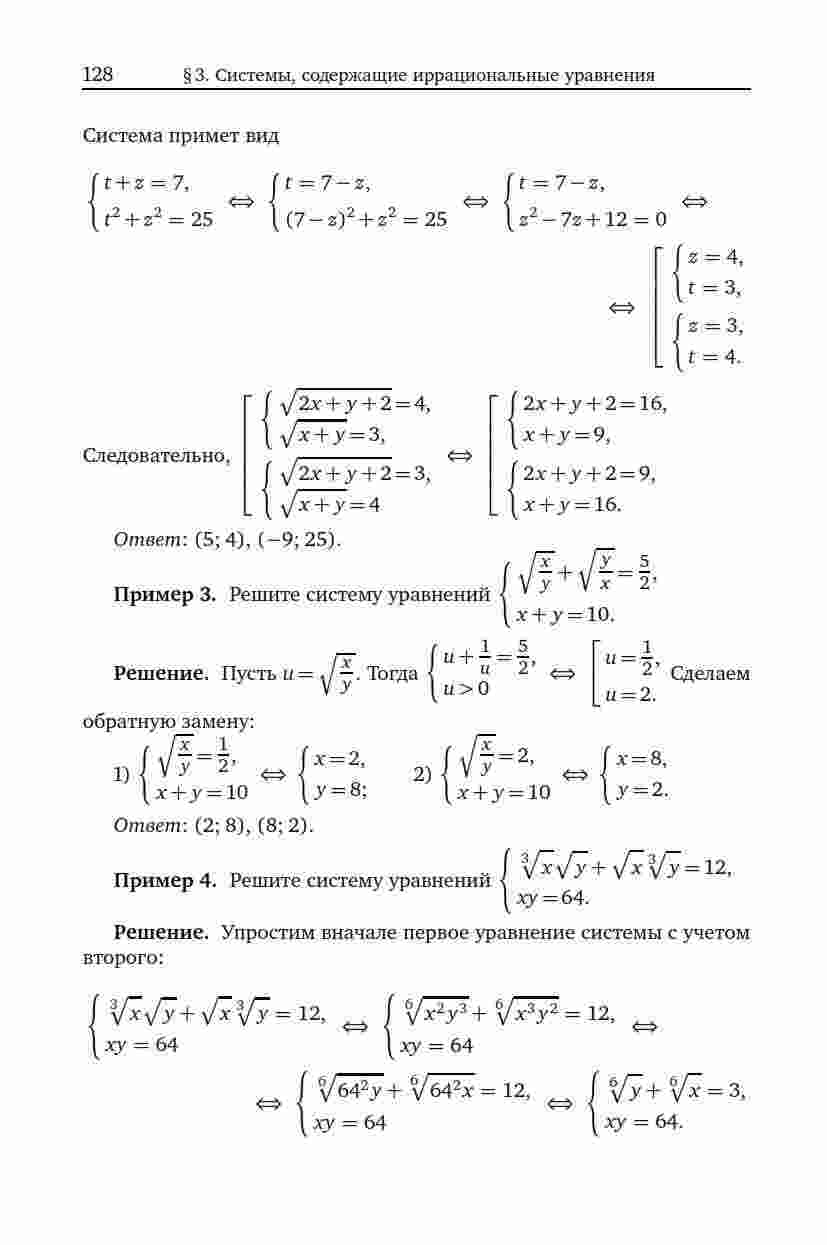
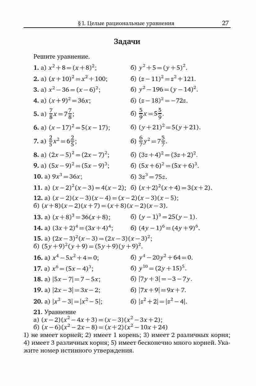
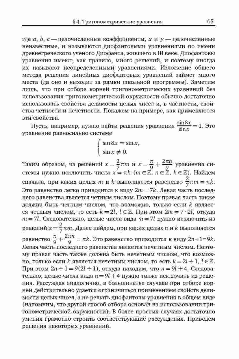
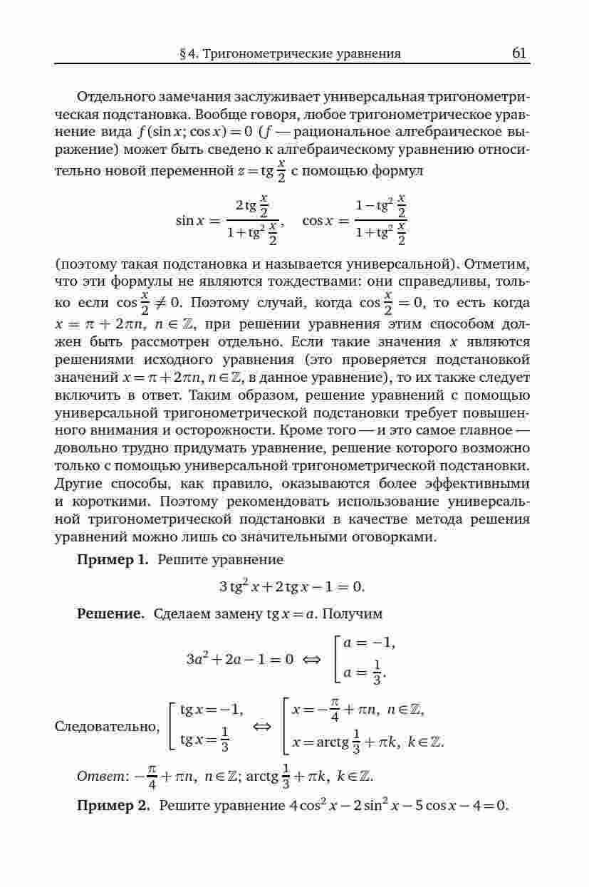
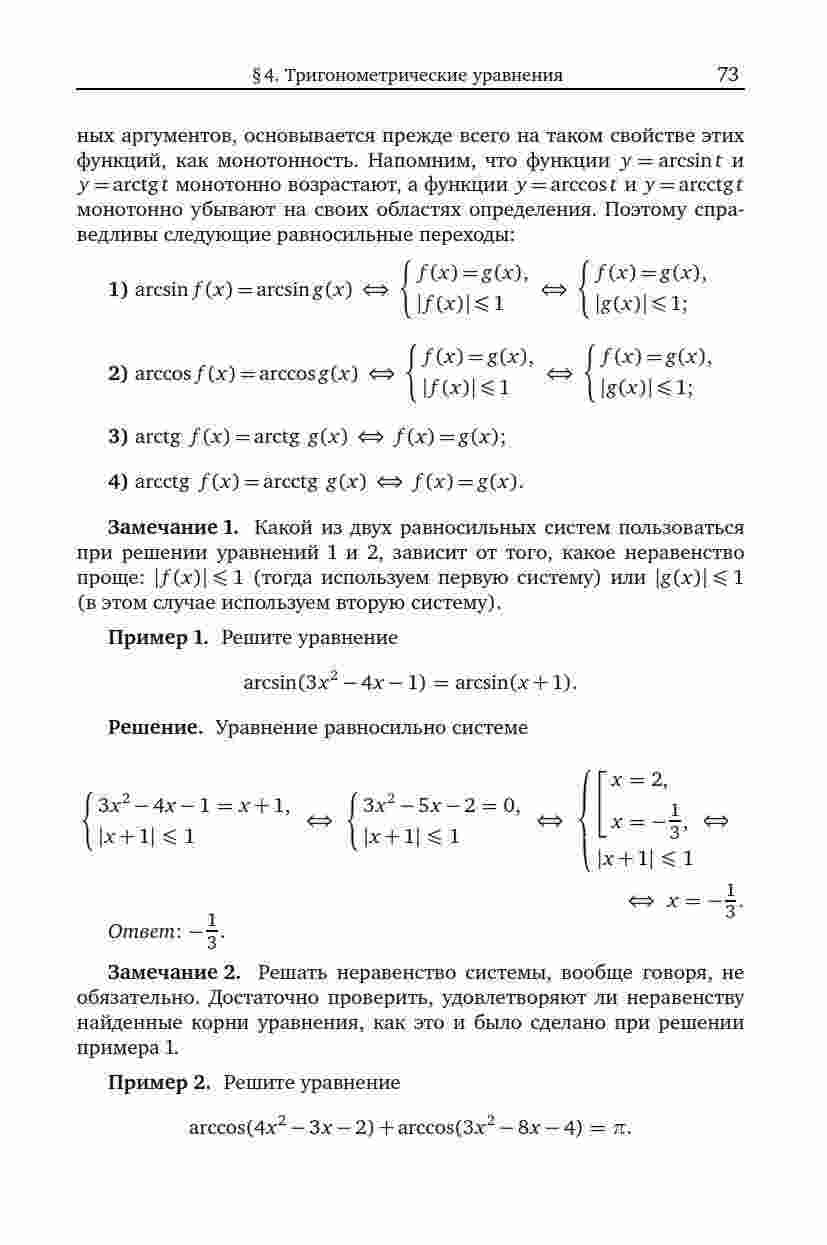
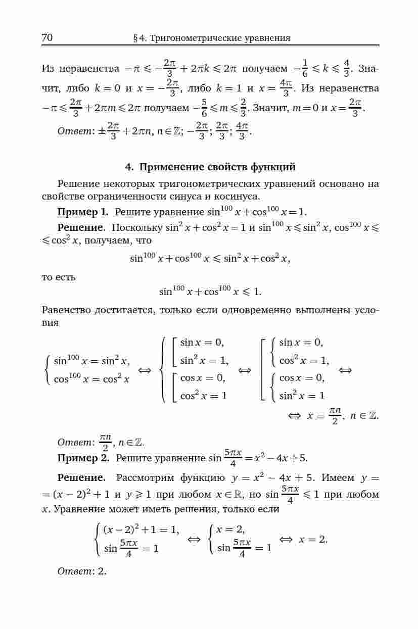
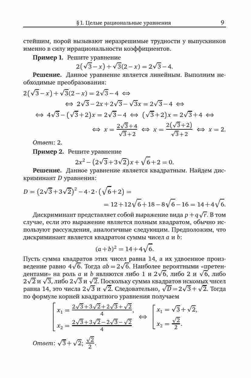
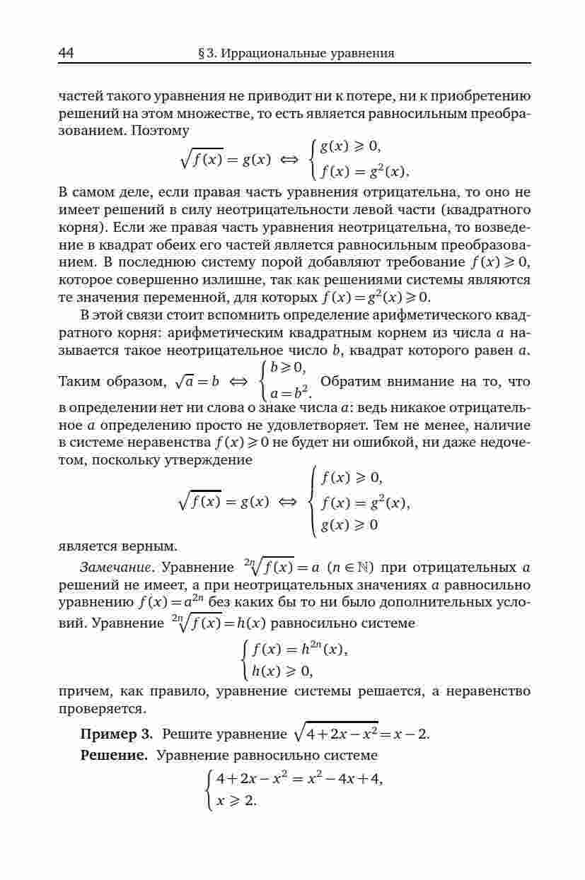
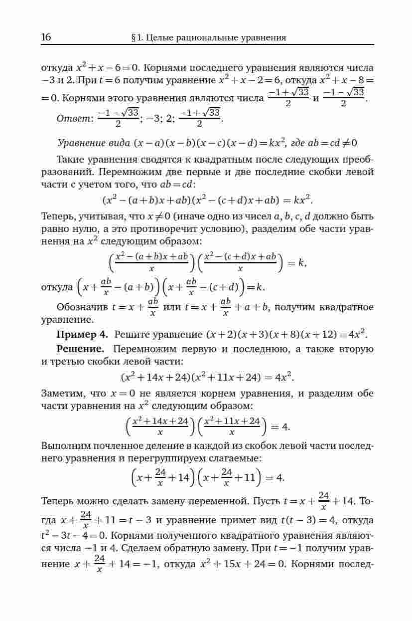
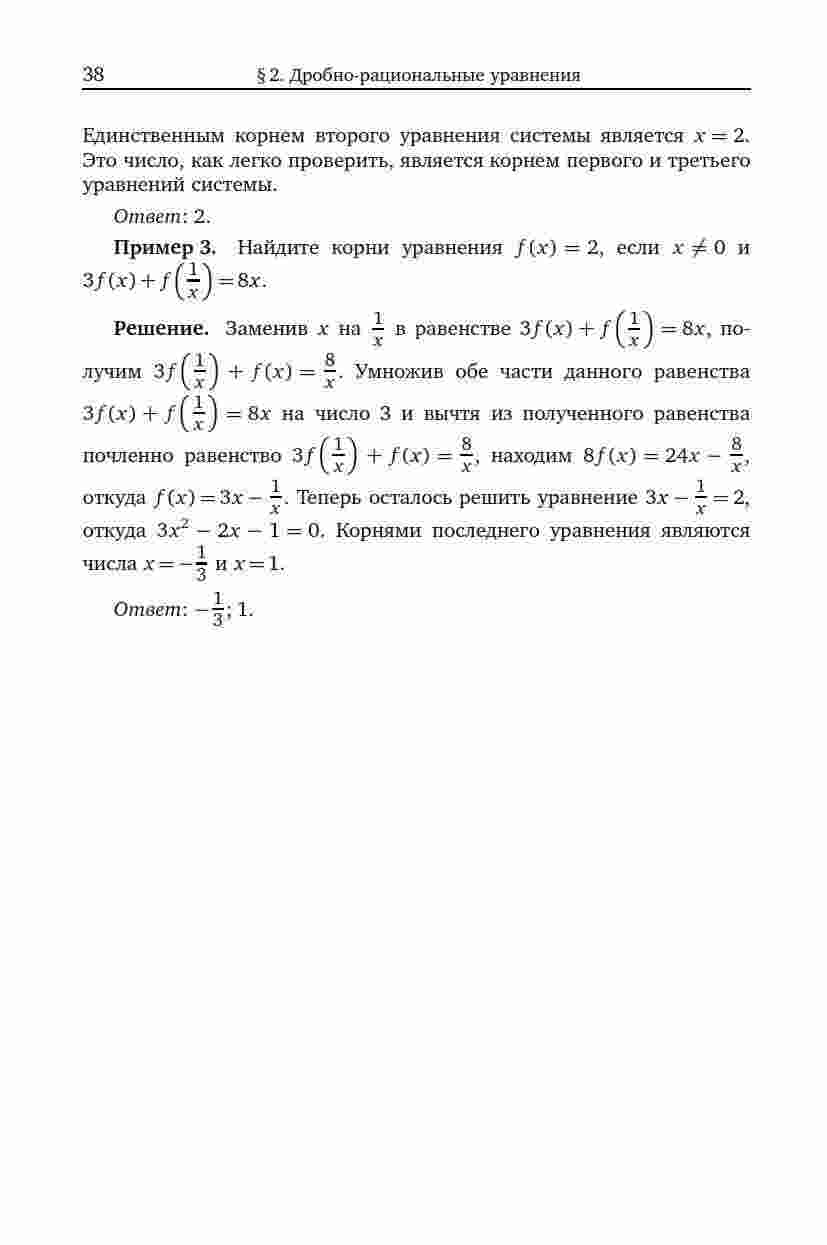
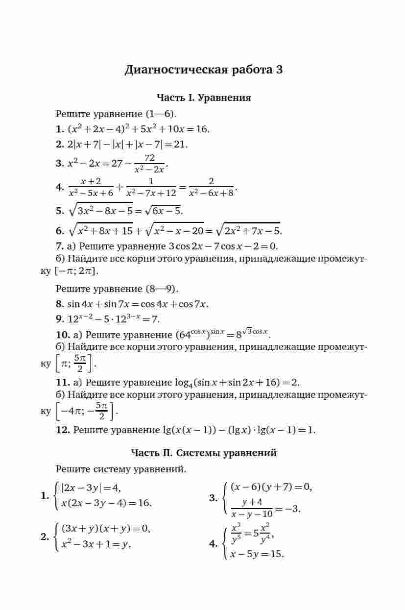
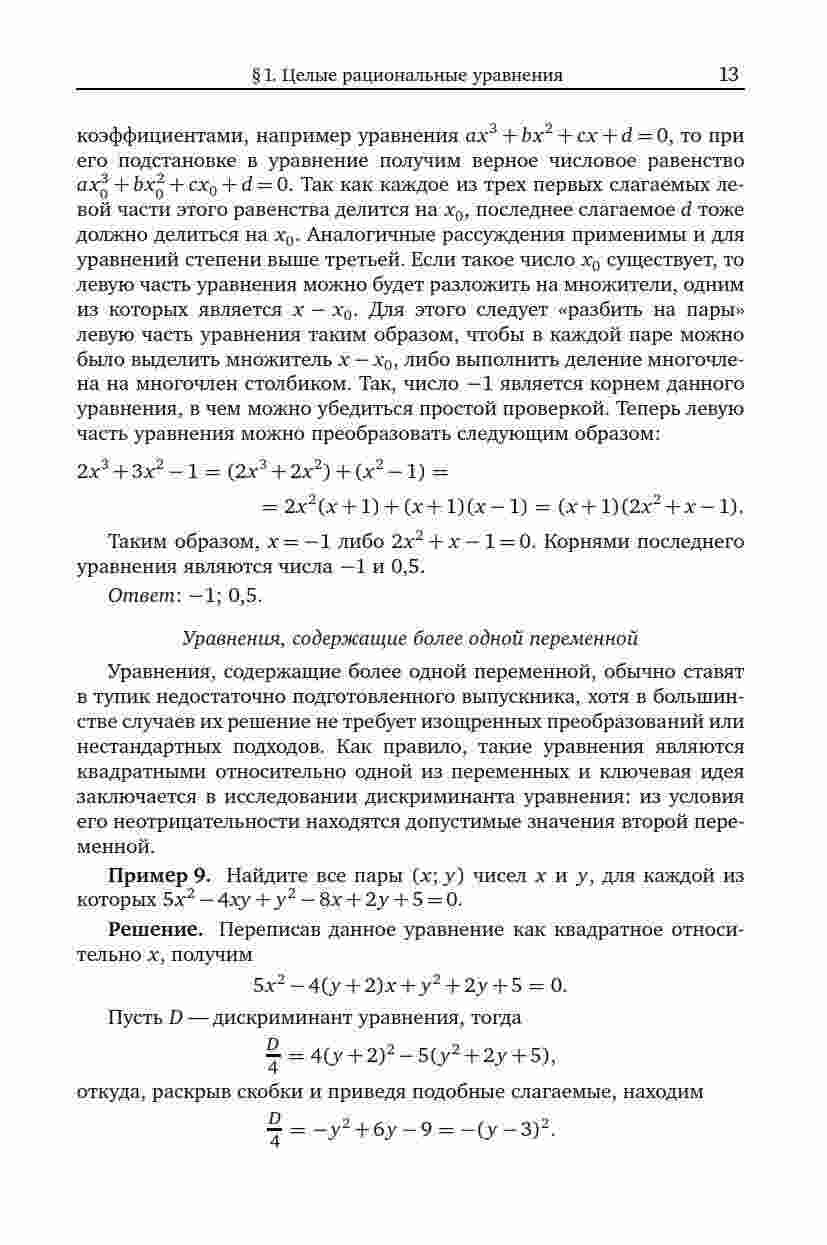
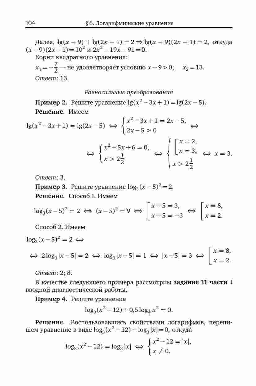
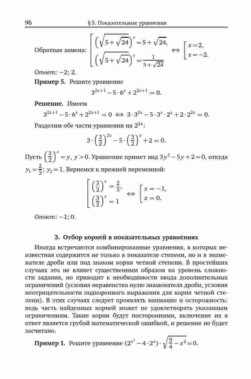
ЕГЭ 2019 Математика Задача 13 Профильный уровень Уравнения и системы уравнений Шестаков Захаров Ященко читать бесплатно

Краткое изложение пособия: "ЕГЭ 2019 Математика: Задача 13 на профильном уровне" авторства Шестакова, Захарова и Ященко представляет собой набор задач, связанных с уравнениями и системами уравнений, специально разработанных для подготовки к экзамену ЕГЭ по математике на профильном уровне. Книга фокусируется на задачах, требующих решения уравнений и систем уравнений разной сложности. Она помогает студентам развивать навыки анализа и решения математических уравнений. Каждая задача снабжена подробным описанием и пошаговым решением, что помогает читателям научиться эффективно решать уравнения и системы уравнений. "ЕГЭ 2019 Математика: Задача 13 на профильном уровне" также содержит полезные советы по подготовке и методики решения задач на уравнения и системы уравнений. Эта книга поможет вам развить навыки алгебры и математического анализа, необходимые для успешной сдачи экзамена. У нас на сайте с учебниками - ОГЭ-гиа-егэ-впр-варианты.ком школьники также найдут много других учебных материалов и книг (не pdf, пдф) для онлайн подготовки к экзаменам в 9-11 классах. Учебное пособие дает много ответов на сложные вопросы, но не считается ГДЗ (решебником).

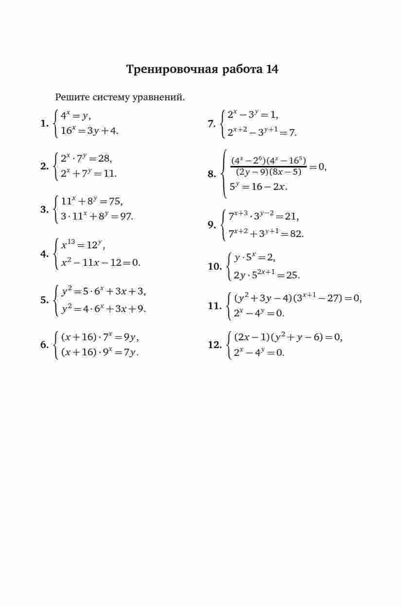
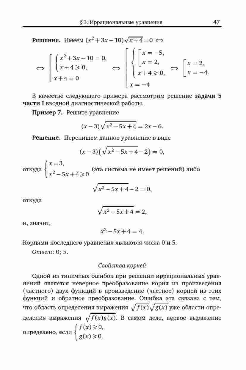
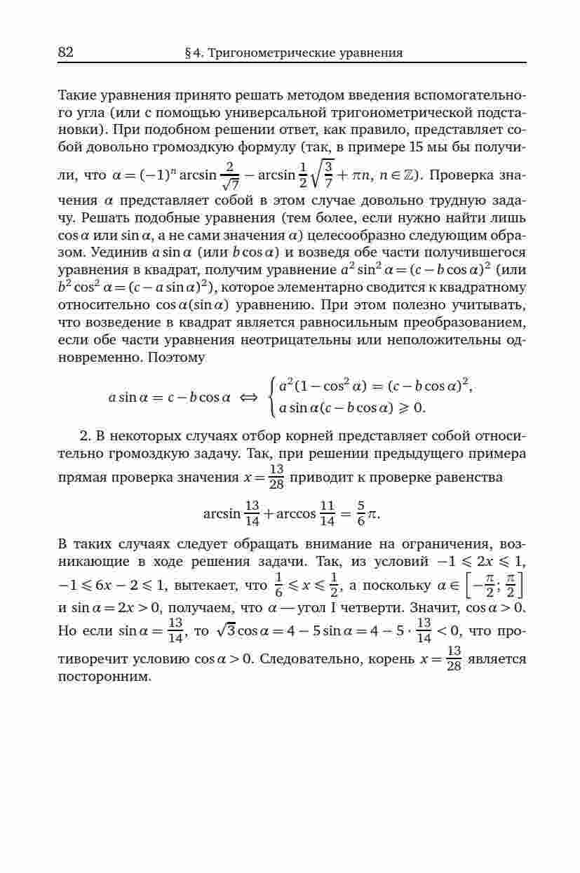
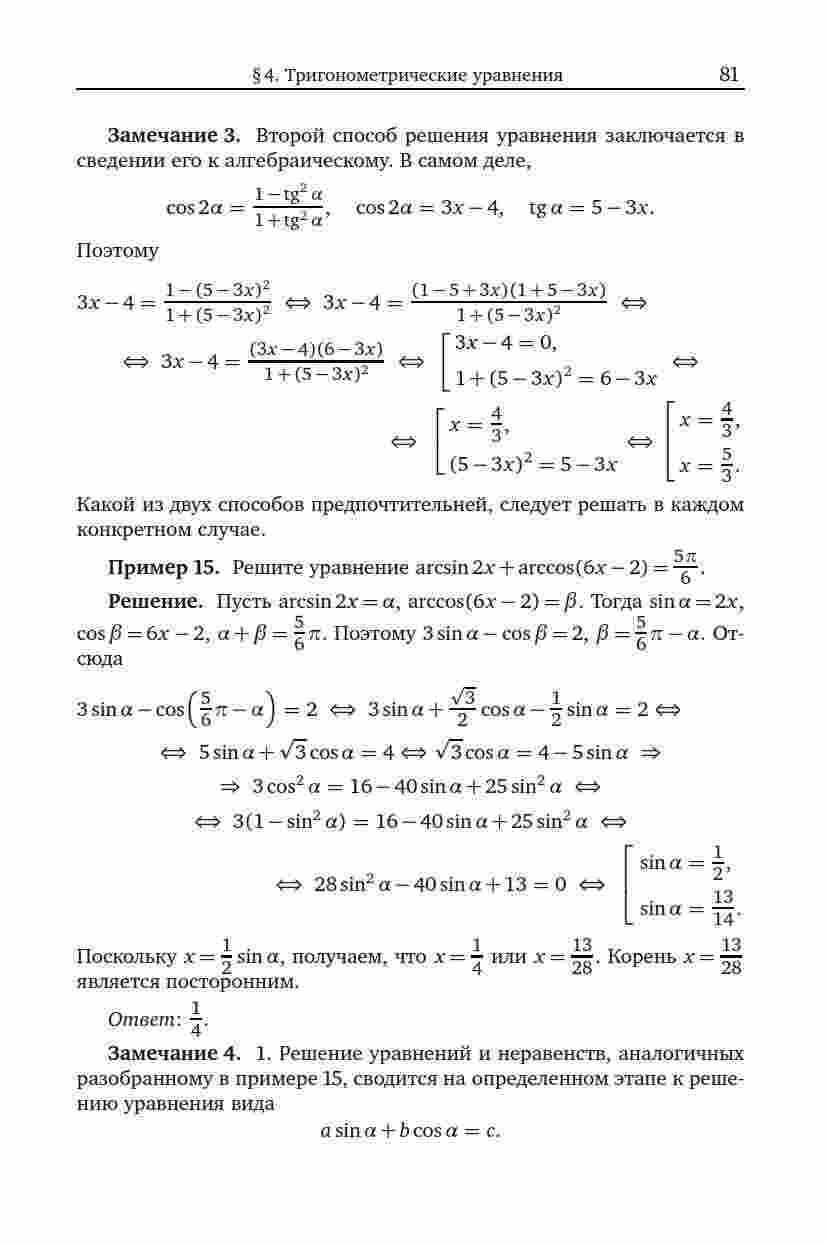
Единый государственный экзамен:

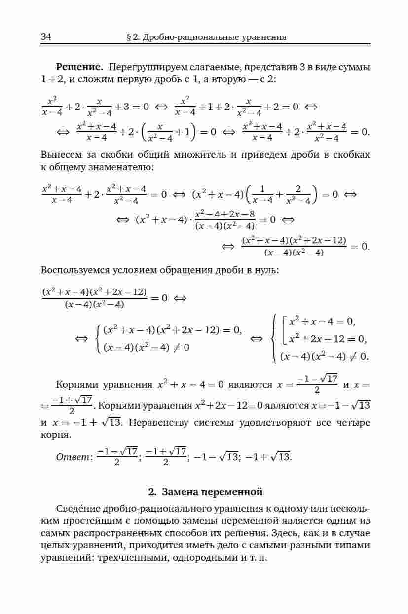
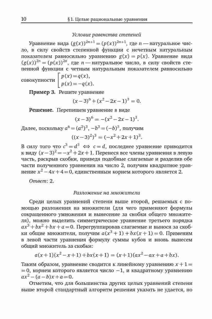
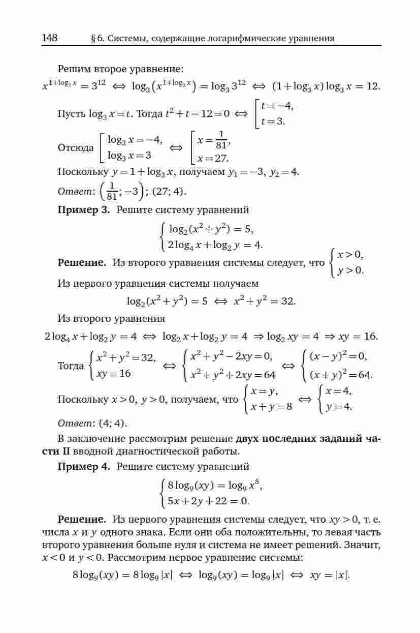
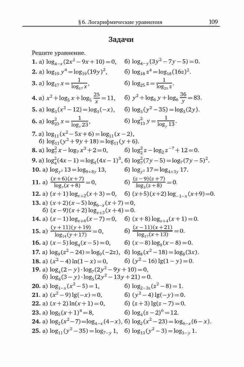
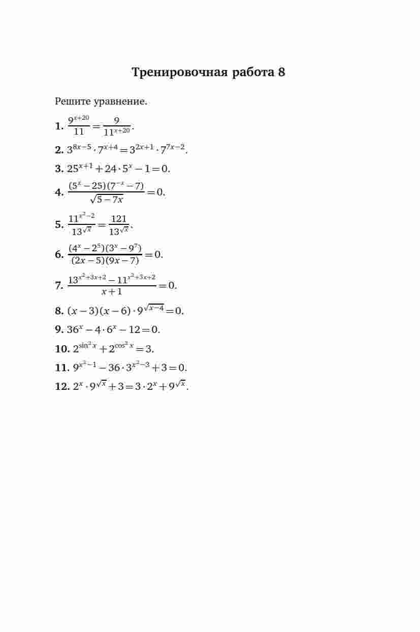
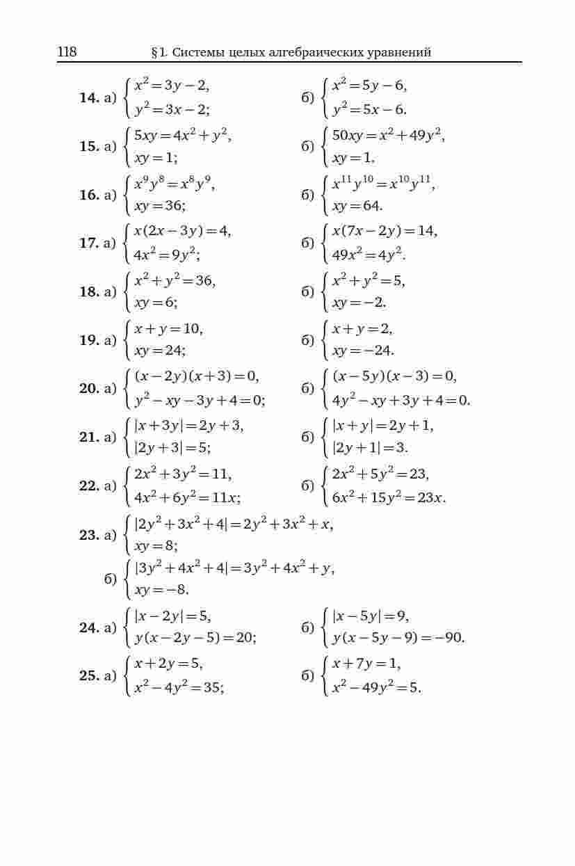
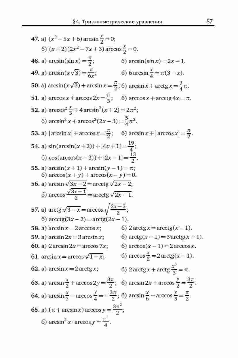
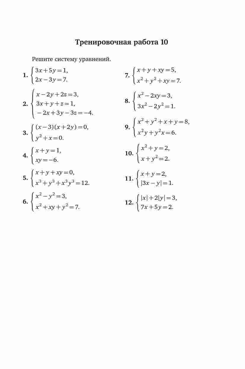
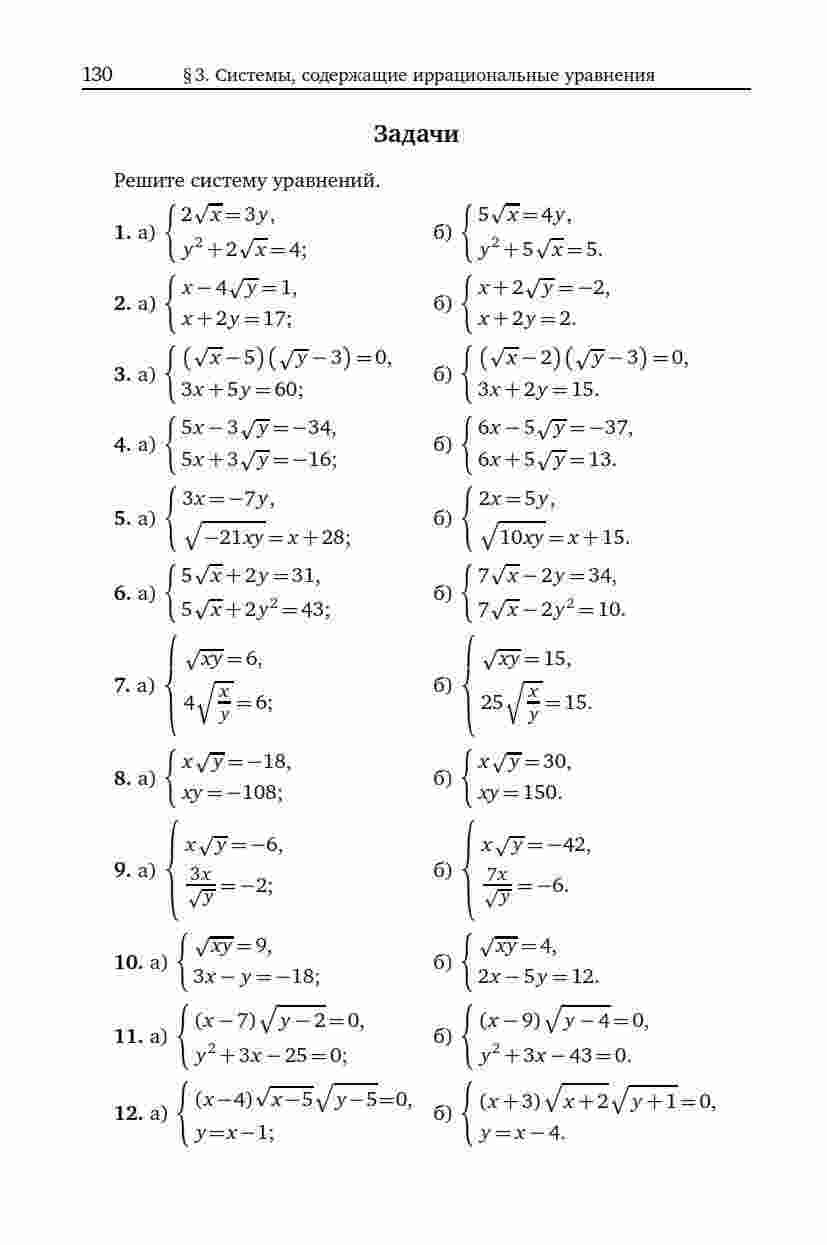
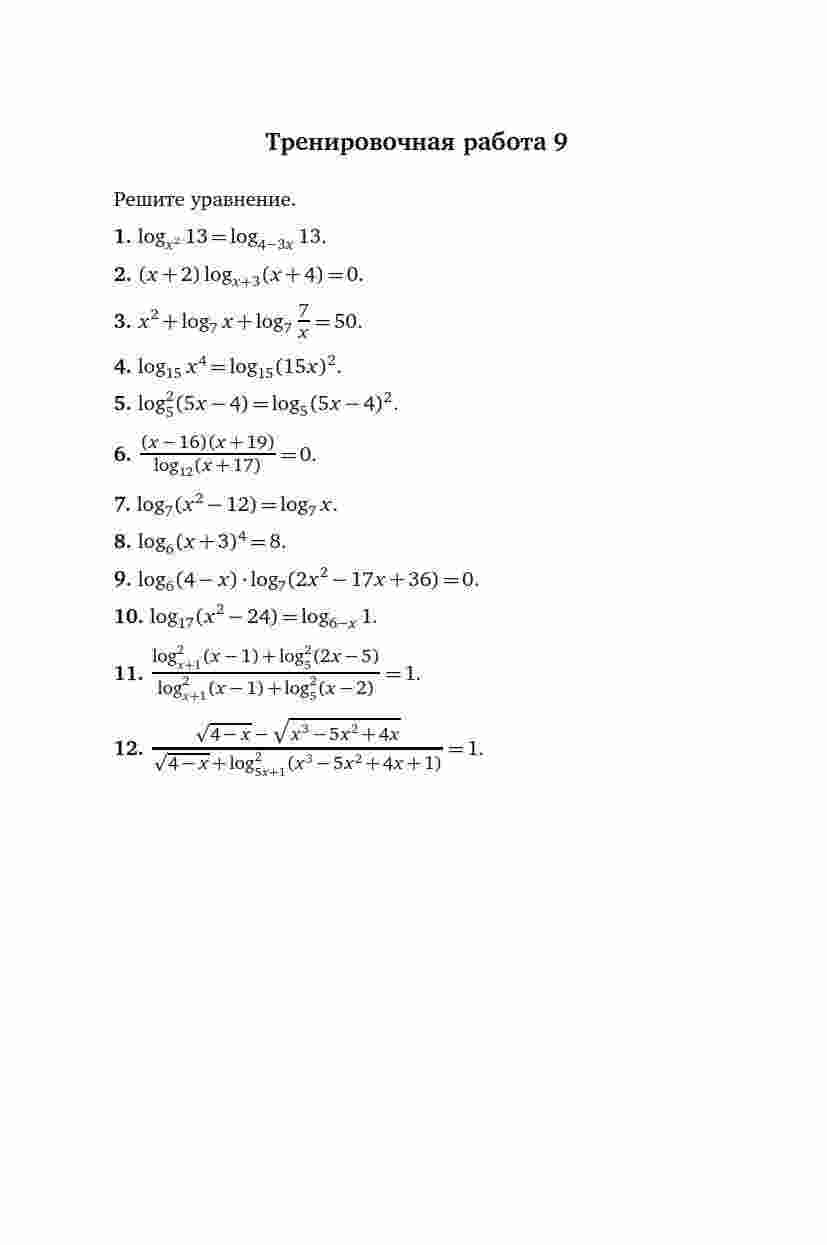
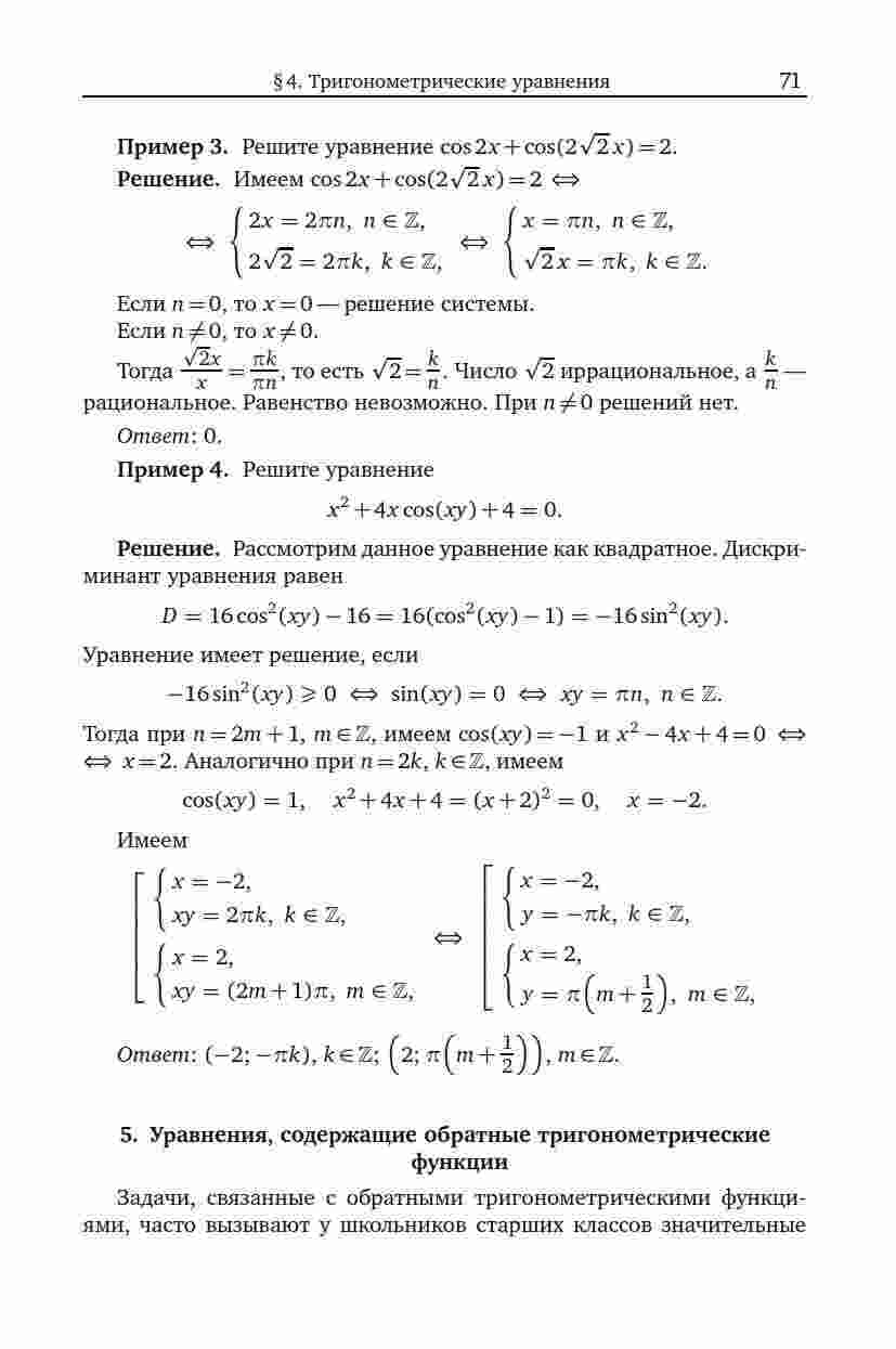
Страница №: стр.1 | стр.2 | стр.3 | стр.4 | стр.5 | стр.6 | стр.7 | стр.8 | стр.9 | стр.10 | стр.11 | стр.12 | стр.13 | стр.14 | стр.15 | стр.16 | стр.17 | стр.18 | стр.19 | стр.20 | стр.21 | стр.22 | стр.23 | стр.24 | стр.25 | стр.26 | стр.27 | стр.28 | стр.29 | стр.30 | стр.31 | стр.32 | стр.33 | стр.34 | стр.35 | стр.36 | стр.37 | стр.38 | стр.39 | стр.40 | стр.41 | стр.42 | стр.43 | стр.44 | стр.45 | стр.46 | стр.47 | стр.48 | стр.49 | стр.50 | стр.51 | стр.52 | стр.53 | стр.54 | стр.55 | стр.56 | стр.57 | стр.58 | стр.59 | стр.60 | стр.61 | стр.62 | стр.63 | стр.64 | стр.65 | стр.66 | стр.67 | стр.68 | стр.69 | стр.70 | стр.71 | стр.72 | стр.73 | стр.74 | стр.75 | стр.76 | стр.77 | стр.78 | стр.79 | стр.80 | стр.81 | стр.82 | стр.83 | стр.84 | стр.85 | стр.86 | стр.87 | стр.88 | стр.89; стр.90 | стр.91 | стр.92 | стр.93 | стр.94 | стр.95 | стр.96 | стр.97 | стр.98 | стр.99 | стр.100 | стр.101 | стр.102 | стр.103 | стр.104 | стр.105 | стр.106 | стр.107 | стр.108 | стр.109 | стр.110 | стр.111 | стр.112 | стр.113 | стр.114 | стр.115 | стр.116 | стр.117 | стр.118 | стр.119 | стр.120 | стр.121 | стр.122 | стр.123 | стр.124 | стр.125 | стр.126 | стр.127 | стр.128 | стр.129 | стр.130 | стр.131 | стр.132 | стр.133 | стр.134 | стр.135 | стр.136 | стр.137 | стр.138 | стр.139 | стр.140 | стр.141 | стр.142 | стр.143 | стр.144 | стр.145 | стр.146 | стр.147 | стр.148 | стр.149 | стр.150 | стр.151 | стр.152 | стр.153 | стр.154 | стр.155 | стр.156 | стр.157 | стр.158 | стр.159 | стр.160 | стр.161 | стр.162 | стр.163 | стр.164 | стр.165 | стр.166 | стр.167 | стр.168 | стр.169 | стр.170 | стр.171 | стр.172 | стр.173 | стр.174 | стр.175 | стр.176 | стр.177.