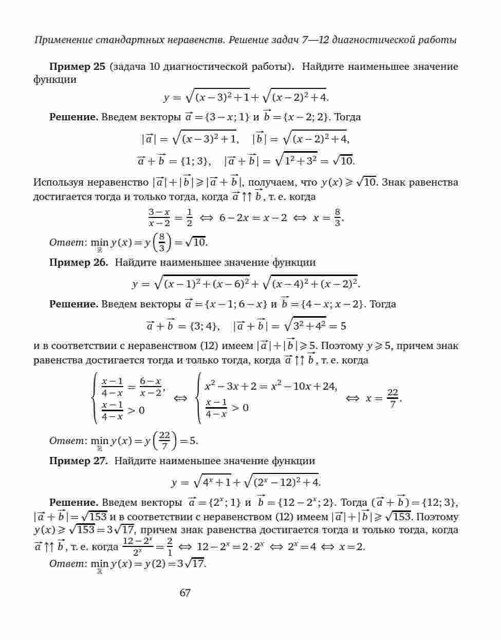
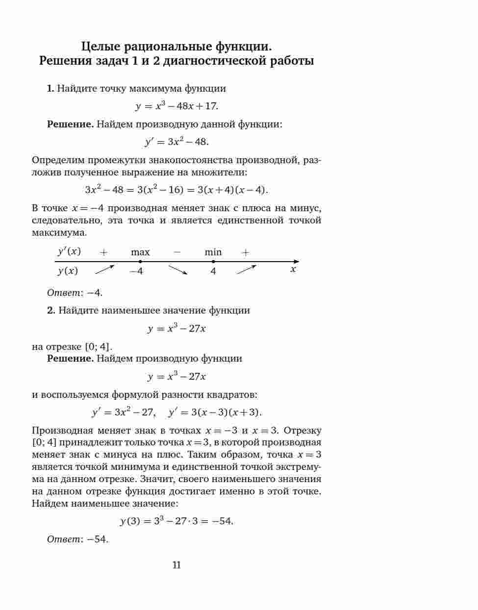
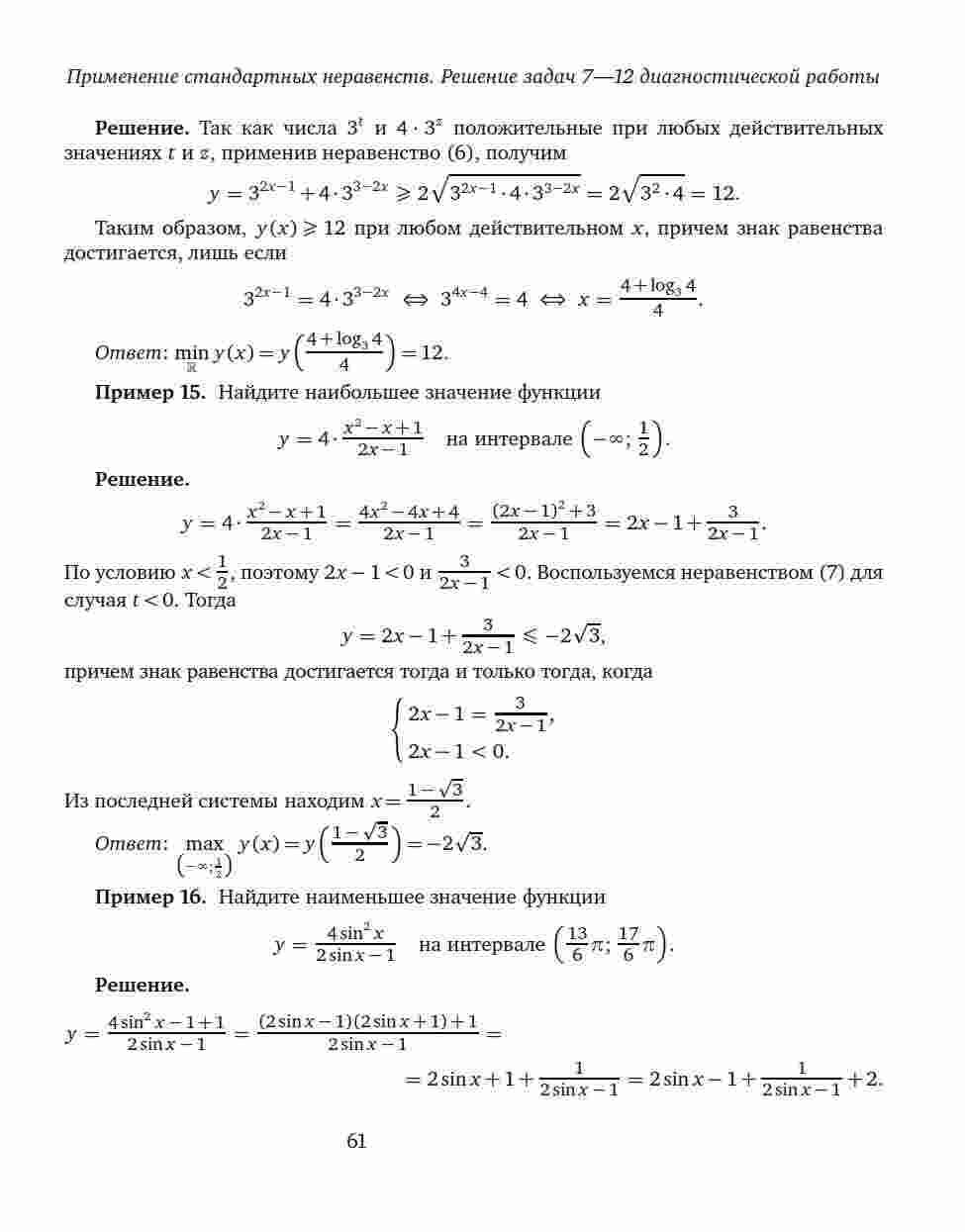
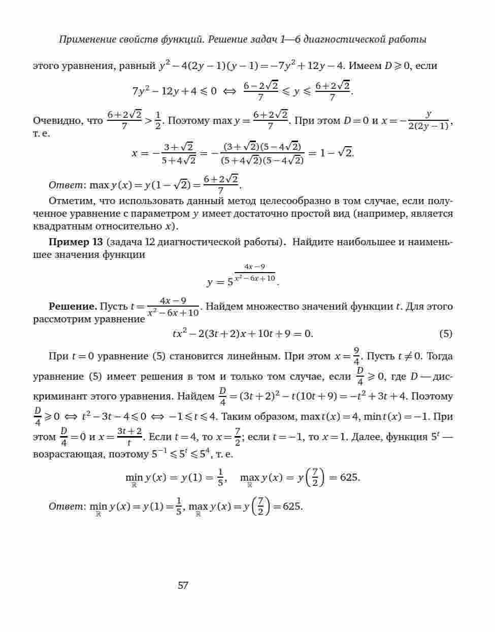
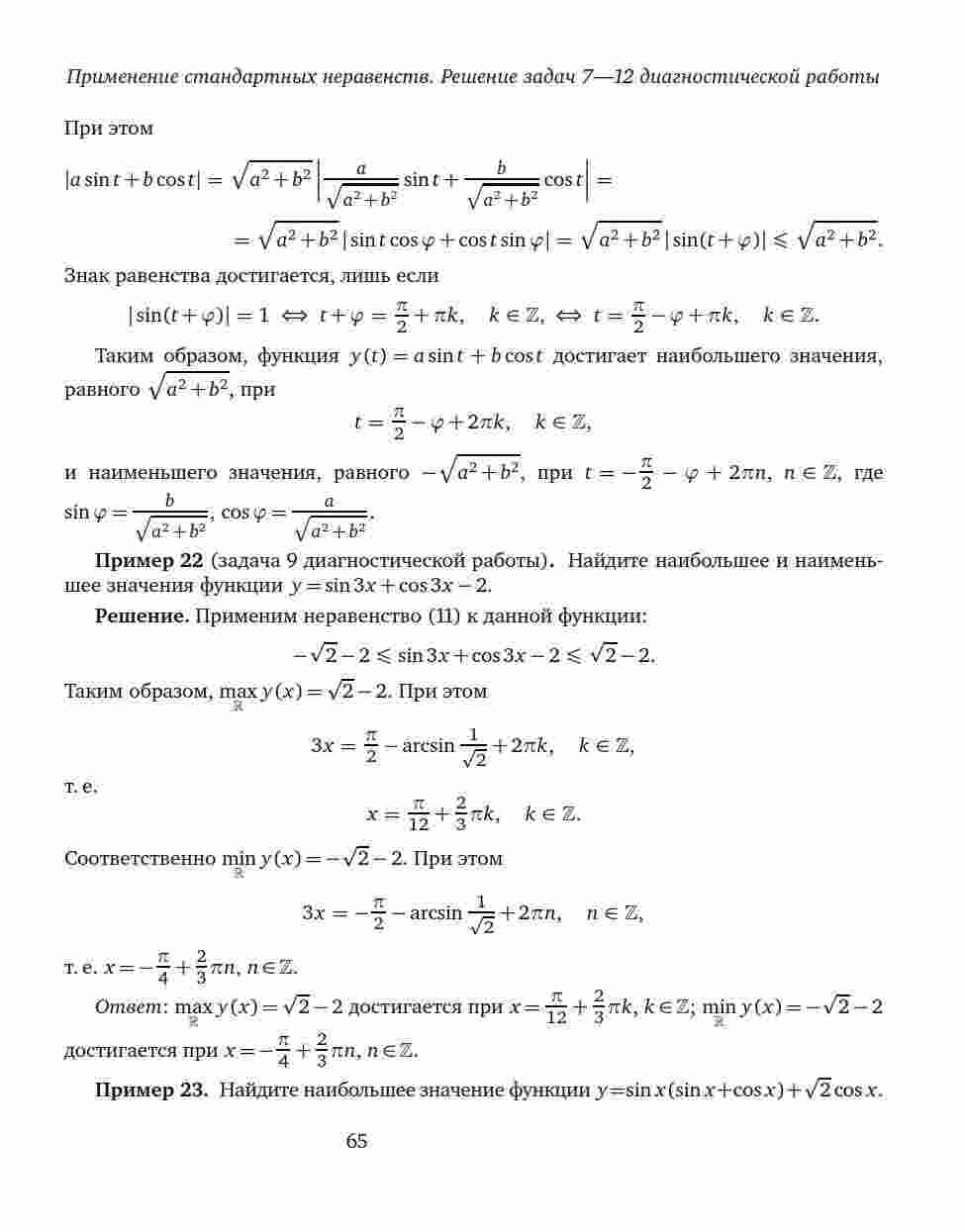
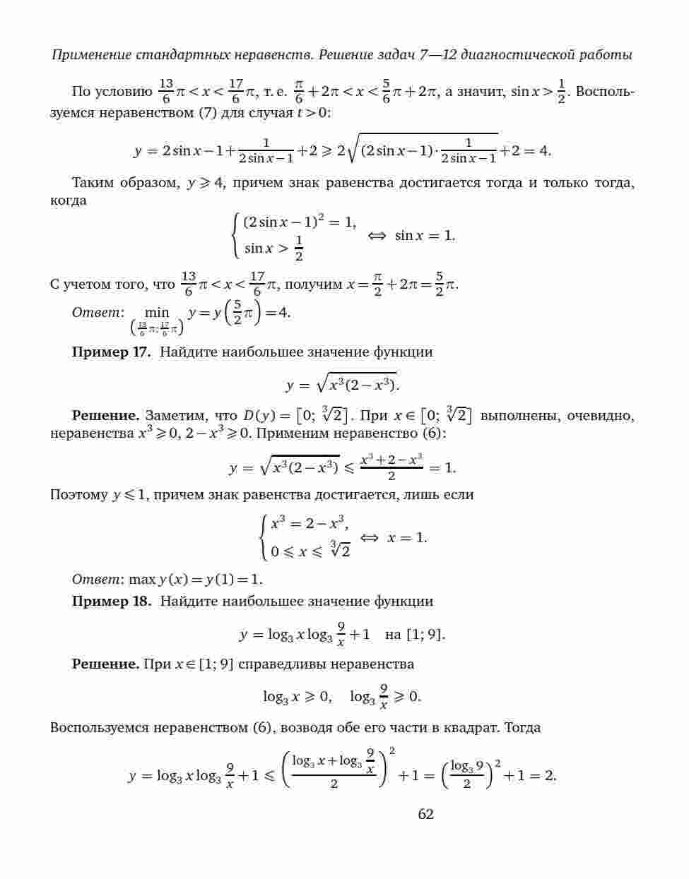
ЕГЭ 2018 Математика Производная и первообразная Исследование функций Задача 12 Профильный уровень Ященко Шестаков читать бесплатно

Краткое изложение пособия: Книга "ЕГЭ 2018 Математика Производная и первообразная Исследование функций Задача 12" разработана специально для учащихся, готовящихся к сдаче ЕГЭ по математике на профильном уровне. Авторы, Ященко и Шестаков, представляют вам обширный материал, который поможет вам овладеть темами производных, первообразных и исследования функций. Книга включает в себя задачу 12, которая служит прекрасным примером того, что вас ожидает на экзамене. В ней вы найдете подробные разъяснения теории, а также множество примеров и задач для практической работы. Каждая тема снабжена пошаговыми решениями, что позволяет вам легко освоить материал. Эта книга не только поможет вам подготовиться к экзамену, но и сделает вас более уверенными в знании математики. Она рекомендуется как ученикам, так и преподавателям, работающим над подготовкой к ЕГЭ. У нас на сайте с учебниками - ОГЭ-гиа-егэ-впр-варианты.ком школьники также найдут много других учебных материалов и книг (не pdf, пдф) для онлайн подготовки к экзаменам в 9-11 классах. Учебное пособие дает много ответов на сложные вопросы, но не считается ГДЗ (решебником).

Единый государственный экзамен:

Страница №: стр.1 | стр.2 | стр.3 | стр.4 | стр.5 | стр.6 | стр.7 | стр.8 | стр.9 | стр.10 | стр.11 | стр.12 | стр.13 | стр.14 | стр.15 | стр.16 | стр.17 | стр.18 | стр.19 | стр.20 | стр.21 | стр.22 | стр.23 | стр.24 | стр.25 | стр.26 | стр.27 | стр.28 | стр.29 | стр.30 | стр.31 | стр.32 | стр.33 | стр.34 | стр.35 | стр.36 | стр.37 | стр.38 | стр.39 | стр.40 | стр.41 | стр.42 | стр.43 | стр.44 | стр.45 | стр.46 | стр.47 | стр.48 | стр.49 | стр.50 | стр.51 | стр.52 | стр.53 | стр.54 | стр.55 | стр.56 | стр.57; стр.58 | стр.59 | стр.60 | стр.61 | стр.62 | стр.63 | стр.64 | стр.65 | стр.66 | стр.67 | стр.68 | стр.69 | стр.70 | стр.71 | стр.72 | стр.73 | стр.74 | стр.75 | стр.76 | стр.77 | стр.78 | стр.79 | стр.80 | стр.81 | стр.82 | стр.83 | стр.84 | стр.85 | стр.86 | стр.87 | стр.88 | стр.89 | стр.90 | стр.91 | стр.92 | стр.93 | стр.94 | стр.95 | стр.96 | стр.97 | стр.98 | стр.99 | стр.100 | стр.101 | стр.102 | стр.103 | стр.104 | стр.105 | стр.106 | стр.107 | стр.108 | стр.109 | стр.110 | стр.111 | стр.112 | стр.113.