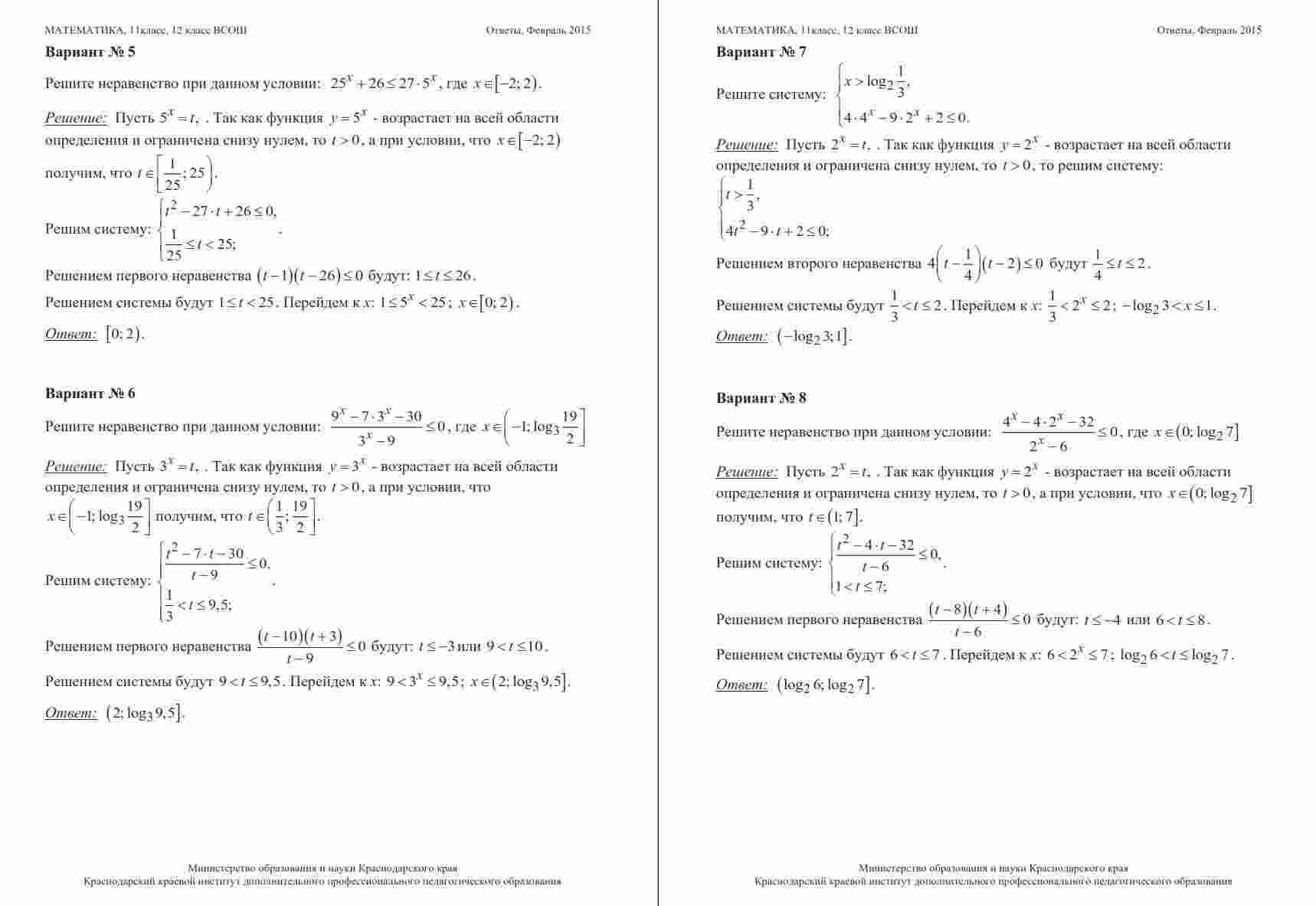
ЕГЭ 2015 Математика 11 класс Краснодар КДР Краевая диагностическая работа класс ВСОШ 25.02.2015 ответы критерии вариант 1-8 читать бесплатно

Краткое изложение пособия: Книга "ЕГЭ 2015 Математика 11 класс. Краевая диагностическая работа" - это незаменимый ресурс для подготовки к ЕГЭ по математике. Эта краевая диагностическая работа была проведена в Краснодарском крае и представляет собой отличный способ оценить свои знания и навыки перед экзаменом. Книга включает в себя восемь вариантов тестовых заданий, а также подробные ответы и критерии оценки. Это позволяет вам не только проверить свои знания, но и понять, где именно вы допускаете ошибки и как их исправить. Помимо этого, в книге представлены подсказки и рекомендации по решению различных задач, что поможет вам развивать свои навыки и строить более эффективные стратегии подготовки к экзамену. Не упустите шанс подготовиться к ЕГЭ по математике с этой полезной книгой, которая предоставляет вам ценные ресурсы для самостоятельной подготовки и повышения успеха на экзамене. У нас на сайте с учебниками - ОГЭ-гиа-егэ-впр-варианты.ком школьники также найдут много других учебных материалов и книг (не pdf, пдф) для онлайн подготовки к экзаменам в 9-11 классах. Учебное пособие дает много ответов на сложные вопросы, но не считается ГДЗ (решебником).

Единый государственный экзамен:

Страница №: стр.1 | стр.2 | стр.3 | стр.4 | стр.5 | стр.6; стр.7 | стр.8 | стр.9 | стр.10 | стр.11.